Estimating Flame Speeds for Use with BST Blast Curves
By
Jeffery Marx and Tim Melton
Printed in
Process Safety Progress
Vol. 28, No 1: pp. 5-10
March, 2009
Abstract
The Baker-Strehlow-Tang (BST) vapor cloud explosion model is one of the most common methods used to estimate overpressures for the purpose of locating buildings in relation to process units. This model suffers from a problem common to all simplified explosion models: the user is required to pick the “strength” of the explosion using one or more simple parameters. In the BST model, the fuel reactivity, flame expansion, and obstacle density parameters are used to select a flame speed from a limited matrix of possible values. This paper presents the Quest Model for Estimation of Flame Speeds (QMEFS), a systematic approach to estimating flame speed that does not rely on the BST categories. It provides for a continuous range of flame speeds that can then be used with the existing BST blast curves to calculate the characteristics of the vapor cloud explosion. The QMEFS approach provides the user with a method for describing a VCE that is more detailed than the BST model, and establishes a more refined system for predicting the consequences of vapor cloud explosions.
Text

Any release of a flammable fluid in a petrochemical facility has the potential to generate a flammable vapor cloud that, if ignited, could produce a vapor cloud explosion (VCE). If the VCE generates damaging levels of overpressure, the possibility of human injury/death, asset damage, or event escalation becomes a concern. The concern for human injury or death is most often addressed in the form of a building siting study. Because people are somewhat less likely to be injured or killed by the effects of a VCE when outside, as compared to when inside a building, the siting study focuses on the potential VCE impacts to buildings within and around petrochemical facilities. It then becomes the task of process safety professionals to estimate the potential for VCE events, and their resulting overpressure impacts on buildings. Prediction of the overpressures resulting from a VCE is typically done using one of two categories of models: computational fluid dynamics (CFD) models and simplified models.
1. Introduction
Any release of a flammable fluid in a petrochemical facility has the potential to generate a flammable vapor cloud that, if ignited, could produce a vapor cloud explosion (VCE). If the VCE generates damaging levels of overpressure, the possibility of human injury/death, asset damage, or event escalation becomes a concern. The concern for human injury or death is most often addressed in the form of a building siting study. Because people are somewhat less likely to be injured or killed by the effects of a VCE when outside, as compared to when inside a building, the siting study focuses on the potential VCE impacts to buildings within and around petrochemical facilities. It then becomes the task of process safety professionals to estimate the potential for VCE events, and their resulting overpressure impacts on buildings. Prediction of the overpressures resulting from a VCE is typically done using one of two categories of models: computational fluid dynamics (CFD) models and simplified models.
CFD models calculate the overpressure field by solving the Navier-Stokes equations numerically and incorporating different sub-models to account for turbulence and combustion reactions. Results are often strongly dependent on the location and strength of the ignition point, the location and composition of the flammable cloud throughout its volume, and the location and configuration of any obstacles or obstructions
within the cloud. The time required to calculate the overpressures resulting from a single ignition point/cloud geometry/location geometry can be significant. Given the number of combinations of ignition points and cloud geometries (e.g., changes in wind direction or wind speed) that can influence a given flammable release; it is generally prohibitive to use CFD for risk assessment or building siting purposes.
Simplified models such as the Baker-Strehlow-Tang (BST) model or the TNO Multi-energy model use information taken from CFD studies to generate curves defining the relationship between explosion overpressure and distance from the explosion center. These curves can then be used in a more general manner to estimate the overpressure impacts generated by an exploding vapor cloud. However, both approaches require the user to estimate the strength of the explosion as a function of the reactivity of the flammable material and the degree of confinement or congestion present in the cloud. This information is then used to determine which strength curve (in the case of the TNO model) or flame speed (in the case of the BST model) is used to calculate the overpressure of the explosion as a function of distance from the center of the explosion.
The TNO Multi-energy model provides little guidance for selecting the explosion strength curve. Curves for strengths in the range of 1 to 10 are provided, and it is left to the user to determine how the reactivity of the flammable gas and the degree of confinement or congestion relate to one of these curves.
The BST model is based on a simple set of guidelines that result in a selection of a flame speed, which corresponds to an overpressure vs. distance curve. Three parameters are used to determine the flame speed to be used: reactivity of the flammable gas, the degree of confinement of the flammable cloud, and the degree of obstruction due to obstacles within the flammable cloud. Reactivity is divided into three categories: low, medium, and high. According to the current BST model, materials having a laminar flame speed (also known as fundamental burning velocity) greater than 0.75 m/s are considered high reactivity [2] while those having a laminar flame speed below 0.4 m/s are considered low reactivity[2] (the threshold for high reactivity was originally set at 0.8 m/s [1]). All other materials are considered to be medium reactivity. The effect of the confinement of the flammable cloud is taken into account by determining the number of dimensions in which the burning gas may expand. 3-D expansion allows the burning cloud to expand freely in all directions and results in the slowest flame acceleration and lowest overpressures. 2-D expansion, such as a flame between two flat plates, generates higher overpressures because the combustion gases have fewer directions in which to expand resulting in a higher flame acceleration. Finally, 1-D expansion is used for flames propagating in pipes. The effect of obstacles in the flammable cloud is characterized by the obstacle density, classified as low, medium, or high. In the original Baker-Strehlow model, low obstacle density was defined as having an area blockage ratio (ABR) of less than 10%, while high obstacle density was defined as an ABR of 40% or greater, and everything in between is considered medium [1].
One problem with the BST scheme is that there are often large jumps in flame speed between categories of confinement, reactivity, or obstruction. This problem was first addressed by Baker in a 1998 paper [2] where a new confinement category, 2½-D, was added for those situations that were more confined than the 3-D case, but less so than the 2-D case. The flame speeds used for the 2½-D confinement were simply the arithmetic average of the flame speeds for the 2-D and 3-D cases for a given reactivity and congestion class. Even with this extension, large discontinuities remained among the categories for flame speed according to the prescribed methodology. These discontinuities drive the need for a new method to determine flame speed based upon quantifiable properties of the flammable gas and its surroundings that varies smoothly across the range of conditions that are found in actual process plants.
The model presented in this paper provides a method for estimating the maximum flame speed that may be expected following ignition of a flammable cloud. That flame speed may then be used with the BST blast curves to estimate the overpressure impacts in the area surrounding a vapor cloud explosion.
2. Parameters Affecting Flame Speed
2.1 Reactivity
Fuel reactivity is a measure of the propensity of the flame front in a given flammable mixture to accelerate and create overpressures or potentially undergo a deflagration-to-detonation transition (DDT). In the BST model, reactivity is classified as high, medium, or low based on the laminar flame speed of the fuel-air mixture. These categories have been given boundaries, effectively placing certain materials in each category. For example, the laminar flame speed of ethylene, depending on the cited reference, ranges between 0.64 and 0.83 m/s. In the original Baker-Strehlow model, the division between medium and high reactivity categories was 0.8 m/s [1]. In 1998, this division was re-defined as 0.75 m/s. This clearly makes ethylene a “borderline” fuel – one that may either be defined as medium or high reactivity. In the latest published BST model [9], ethylene is explicitly categorized as a high reactivity material, as their experimental work defined ethylene as the high reactivity material. This then begs the question: what about ethylene oxide (laminar flame speed 1.0 m/s) or acetylene (laminar flame speed 1.6 m/s)? These two materials are clearly more reactive than ethylene, but are still categorized as high reactivity. The BST model effectively says that an ethylene explosion will be as severe as an ethylene oxide explosion, when all other parameters are held constant, but this is not correct.
2.2 Congestion
Congestion in the original Baker-Strehlow VCE [1] model was classified as high, medium, or low based on the area blockage ratio (ABR) of obstructions in the path of the expanding flame front. Later guidelines produced for the BST model in light of more recent data seem to suggest that the volume blockage ratio (VBR) is a better parameter for classifying an obstructed area [9]. In practice, both blockage ratios will affect how fast a flame accelerates but, for a uniform obstacle field, the two are related simply by the pitch-to-diameter ratio of the obstacles. If the obstacles included in the ABR are not repeated quasi-uniformly throughout the obstacle field but are only present in distinct planes, their effect would be more accurately portrayed by something similar to a confinement parameter.
2.3 Confinement
The effect of confinement is included in the BST model by identifying the number of dimensions that are available to the products of combustion for expansion. Expansion into free space is considered 3-D expansion, expansion between two parallel planes is considered 2-D expansion, and expansion in a pipe is considered 1-D expansion. The 1-D case was removed in the more recent publications discussing the BST model [9]. To handle the case of a frangible or partially-confining plane, such as a very closely spaced pipe rack, the BST model added a 2.5-D classification which simply averaged the 2-D and 3-D flame speed results.
2.4 Other Factors
Several researchers [3,6,9] have acknowledged that the overall dimensions of the flammable vapor cloud before ignition directly affect the final flame speed and consequent overpressures of the vapor cloud explosion. Since a flame will accelerate until it undergoes DDT or reaches a maximum sustainable value, the maximum dimension of a flammable cloud is expected to be an important variable in the creation of overpressure. In addition, research [3,4,5,6] suggests that the scale of obstacles within the congested area also affects the maximum flame speed that may be achieved. Both of these factors should be included in any correlation for the prediction of flame speeds in vapor clouds.
3. New Model For Estimating Flame Speed
Portions of existing modeling methodologies and experimental data sets have been used in order to create a new model that provides the capability for more detailed descriptions of explosion scenarios. This new model bases the prediction of overpressure on the following parameters:
- Laminar flame speed is used as the characteristic property for fuel reactivity.
- Volume blockage ratio and average obstacle diameter define the level of congestion.
- Confinement is characterized as the number of confining planes, or walls, that are available to confine the expanding gases.
- Length, width, and height of the explosion source region are used to define the volume of gas and the maximum flame acceleration path, or run-up distance.
The new method for defining release-specific flame speed combines information from the European MERGE and EMERGE tests [11] and the BST model [10] with the new values for flame speed given for use in the BST model by Pierorazio, et al. [9].
3.1Fundemental Corrections
The original Baker-Strehlow curves were presented in terms of Mw, the velocity of heat addition in the numerical calculations relative to a Lagrangian (moving) coordinate system. However, the actual flame speed measured in experiments, Mf, is based on an Eulerian (fixed) coordinate system. When presenting the new BST curves, Tang and Baker [10] presented the curves in terms of Mf, the measured flame velocity. To convert from Mw to Mf velocities, they determined the overpressure for a range of values of Mw and then converted them to Mf using the following equation derived from acoustic theory:
where:
pmax = the maximum overpressure attained, bara
p0 = the ambient pressure, bara
Mf = the flame speed relative to a fixed observer, expressed as a Mach number
Based on extensive experimental research programs performed during the MERGE and EMERGE projects [3,4,5,6], TNO, in the GAMES project, developed the following correlation for explosion overpressure in 3-D flame expansion conditions [7]:
where:
ΔP0 = the overpressure (equivalent to pmax − p0 in equation 1, above), bar
VBR = the volume blockage ratio
Lf = the maximum distance a flame can propagate in the obstructed region (i.e., the run-up distance), m
D = the average obstacle diameter, m
Sl = the laminar flame speed of the flammable gas, m/s
Combining equation 1 with equation 2, yields:
The GAMES project also produced a correlation for overpressure achieved by 2-D flame expansion [7], which takes the same form as equation 2. A solution for flame speed can be derived in the same manner as presented for the 3-D correlation using
in place of RHS3D in equations 4, 6, and 7.
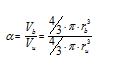
A final correction is applied to the calculated flame speed for the number of planes that confine the expanding products of combustion. Assuming the entire mixture is burned, there is a relationship between the initial and final dimensions of the unburned gases and products of combustion and the available directions in which the cloud may expand. Defining as the ratio of the volume of the products of combustion divided by the initial flammable gas volume (i.e. the expansion ratio), for a spherical cloud (3-D expansion):
Where:
Vu = volume of unburned gas
Vb = volume of combustion products
ru = radius, unburned gas
rb = radius, combustion products
which leads to:
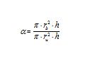
Similarly, for 2-D expansion:
where:
h = the height of the cylinder
And finally, for 1-D expansion:
where:
R = the radius of the pipe
ru = length, unburned gas in the pipe
rb = length, combustion products in the pipe
or:
To correct the flame speed to account for confinement, a curve fit of the ratio of burned cloud to unburned cloud radii versus the number of confining planes was made. The values resulting from Equations 10, 12, and 14 were used to generate the curve fit with = 7, a typical expansion ratio for stoichiometric combustion of common hydrocarbon fuels in air. This is also the value assumed in the derivation of Equation 1, according to Tang and Baker [10]. The equation resulting from this curve fit is:
where:
NPF = flame speed correction factor, (number of planes correction factor)
nPlanes = number of confining planes
For true 3-D spherical expansion, nPlanes = 0. For a typical explosion at grade level, nPlanes = 1. For 2-D expansion, such as a flame propagating between a floor and a ceiling, nPlanes = 2. For 1-D expansion, such as a flame front moving in one direction in a pipe, nPlanes = 5. Planes that are not completely solid or rigid may be accounted for using a fraction of a plane.
The flame speed correction factor, NPF, does not fully account for increases in flame speed as the number of confining planes increases. This is seen when comparing the flame speed predicted by the 2-D GAMES correlation (applying equation 8 to equation 7) to the flame speed predicted by the 3-D GAMES correlation (applying equation 5 to equation 7) and adjusting the ratio by NPF when nPlanes is equal to 2. In order to supplement NPF, flame speeds are also corrected so that they match the 2-D GAMES correlation. This is accomplished by applying the following factor to the flame speed when nPlanes is equal to 2:
This can be implemented in a general form, such that it can be applied to all calculations of flame speed, using the following relationship:
3.2 Flame Speed Limits
One problem with equation 7 is that it does not limit the predicted flame speed for large values of Lf or Sl, allowing it to increase nearly as fast as the cube of their values. This is a direct result of the correlation fitting the data within the scope of the MERGE and EMERGE tests. In reality, for a given obstacle configuration, geometry, and flammable gas mixture, there is a limit to the flame speed that can be achieved. This flame speed may be either subsonic or the cloud may undergo a deflagration-to-detonation transition (DDT) in which the flame front becomes a detonation propagating at roughly the Chapman-Jouguet (C-J) detonation velocity for the flammable mixture. For most common flammable hydrocarbons in air, this speed is roughly 1800 m/s or Mf= 5.2.
The flame speeds suggested by the latest BST model [9] are applied as the upper limit flame speeds to be used in this model, as they have been “scaled up” to account for industrial scale flammable clouds [9] and account for DDTs. For purposes of this model, any flame that accelerates to a calculated velocity greater than Mf = 3.0 is considered to have undergone DDT [8,12] and the flame speed is set to the C-J velocity, Mf = 5.2. The parameters in the new model described in this paper – corresponding to the existing BST conditions – are listed in Table 1.
The characteristic obstacle diameter for the BST tests was 2 inches (0.0508 meter) and the length available for flame acceleration was 15 meters [9]. To determine the maximum allowable flame speed for any given combination of VBR, Sl, D, Lf and nPlanes, the given values are linearly interpolated from the values presented in Pierorazio, et al. [9]. This approach is consistent with the approach used in Baker, et al. [2] to determine flame speed for expansion geometries between 3-D and 2-D, i.e. 2½-D expansion.
The result of these correlations is a model that estimates the flame speed based on VBR, D, Sl, Lf and the number of confining planes. The resulting flame speed is compared to the published BST model, which provides a matrix of flame speeds as a function of reactivity, obstacle density, and flame expansion. The BST matrix values are used as maximum flame speed values for the set of parameters given in Table 1. Values between or outside the BST matrix elements are calculated by linear interpolation (as was done for Baker’s 2½-D flame expansion category). This methodology provides an extended, systematic approach for estimating flame speeds resulting from the combustion of a flammable cloud in an obstructed and/or confined region. Predicted flame speeds are used with the existing BST blast curves to produce estimates of overpressure at a distance from the explosion source.
4. Results
As discussed in the paper outlining the most recent version of the BST model [9], the distance that is available for the flame to accelerate, i.e. the run-up distance, can have a significant effect on the flame speed attained in a flammable gas cloud. The flame speeds presented in the original Baker-Strehlow (BS) model [1] were generated in a test rig whose largest dimension was less than 6 feet (1.8 meters) [9]. The flame speeds used in the newest BST model are based on tests where the largest dimension was 48 feet (14.6 meters), with the published flame speed results “scaled up” to account for the maximum size of a typical industrial plant. One test of the QMEFS model is to determine the flame speed versus run-up distance for the test configurations used in the newest BST model when specific parameters are varied.
Figure 1 shows the results of the new flame-speed model for the 3-D, medium reactivity case. The curves plotted in Figure 1 show four VBR values: the medium value of 4.3% used in the latest BST experiments, the low congestion value of 1.5% used in the latest BST experiments, and two intermediate values to show how the model behaves as the VBR is adjusted.
Figure 2 shows the new flame speed model for the 3-D, high congestion case. In the new BST model [9], the cloud undergoes a DDT if the fuel reactivity is high. The older BS model [2] failed to predict this behavior. Four curves for varying reactivity (laminar flame speed) are shown. The lowest laminar flame speed, 0.43 m/s for propane, corresponds to the medium reactivity category in the newest BST experiments. The highest laminar flame speed, 1.0 m/s for ethylene oxide, corresponds to the high reactivity category in the newest BST experiments. Curves for ethylene (Sl = 0.75 m/s, high reactivity in BST) and cyclopropane (Sl = 0.52 m/s, medium reactivity in BST) are also shown to illustrate how the new model for flame speeds allows for a continuous spectrum of predicted values between the extremes of the BST categories.
Figure 1
Flame Speed Vs Run Up Distance
3-D,Propane(Medium Reactivity), D=2
Figure 2
Flame Speed Vs Run Up Distance
3-D, VBR=4.3% (Medium Congestion), D = 2″
5. Conclusions
The model described in this paper provides a method to better describe the characteristics of a vapor cloud explosion over a wide range of conditions. It combines elements of the work conducted by Baker and the European MERGE/EMERGE projects, thus incorporating data from the two largest, modern vapor cloud explosion test projects. With the ability to model the reactivity of a flammable gas cloud based on laminar flame speed instead of a low, medium, or high classification, the model is able to more accurately describe a wide range of flammable gases and mixtures. Also, due to the ability to describe the obstacle congestion with a volume blockage ratio parameter and an average obstacle diameter, the analyst can provide a better description of the region that a flammable cloud occupies. Using the predicted flame speed and the curves for overpressure and impulse presented in the BST model, process safety experts can calculate the impacts the explosion of a flammable cloud may have on buildings in proximity to petrochemical facilities.
References
- Baker, Q.A., M.J. Tang, E. Scheier, and G.J. Silva, “Vapor Cloud Explosion Analysis,” 28th Loss Prevention Symposium, AIChE, April, (1994).
- Baker, Q.A., C.M. Doolittle, G.A., Fitzgerald, and M.J.Tang, “Recent Developments in the Baker-Strehlow VCE Analysis Methodology,” Process Safety Progress, v.17, No.4 (1998).
- Mercx, W.P.M., editor, Modelling and Experimental Research into Gas Explosions, Overall final report of the project MERGE, CEC contract STEP-CT-0111(SSMA), European Commission, Directorate General XII, Brussels, Belgium (1994a).
- Mercx, W.P.M., A.C. Van den Berg, and Y. Mouilleau, Modelling and experimental research into gas explosions, Contribution of TNO-PML to the MERGE project, TNO report, PML 1993-C137, Rijswijk, The Netherlands (1994b).
- Mercx, W.P.M., A.C. Van den Berg, and Ph. Van Dongen, Extended Modelling and experimental research into gas explosions, Contribution of TNO-PML to the MERGE project, TNO report, PML 1996-C16, Rijswijk, The Netherlands (1996).
- Mercx, W.P.M., editor, Extended Modelling and Experimental Research into Gas Explosions, Final summary report of the project EMERGE, CEC contract EV5VCT930274, European Commission, Directorate General XII, Brussels, Belgium (1997).
- Mercx, W.P.M., A.C. van den Berg, and D. van Leeuwen, Application of correlations to quantify the source strength of vapour cloud explosions in realistic situations. Final report for the project: ‘GAMES’, TNO report PML 1998-C53, Rijswijk, The Netherlands (1998)
- Oran, E.S. and V.M. Gamezo, “Origins of the deflagration-to-detonation transition in gas-phase combustion,” Combustion and Flame, 148 (2007).
- Pierorazio, A.J., J.K.Thomas, Q.A.Baker, and D.E.Ketchum, “An Update to the Baker-Strehlow-Tang Vapor Cloud Explosion Prediction Methodology Flame Speed Table,” Process Safety Progress, v.24, no.1 (2005).
- Tang, M.J. and Q.A.Baker, “A New Set of Blast Curves from Vapor Cloud Explosion,” Process Safety Progress, v.18, no.4 (1999).
- Van den Berg, A.C. and A.L. Mos, Research to improve guidance on separation distance for the multi-energy method (RIGOS), HSE Research Report 369, (2005).
- Vasil’ev, A.A., “Estimation of Critical Conditions for the Detonation-to-Deflagration Transition,” Combustion, Explosion, and Shock Waves, v.42, no. 2 (2006).







